Официальное опубликование правовых актов
ОФИЦИАЛЬНОЕ ОПУБЛИКОВАНИЕ
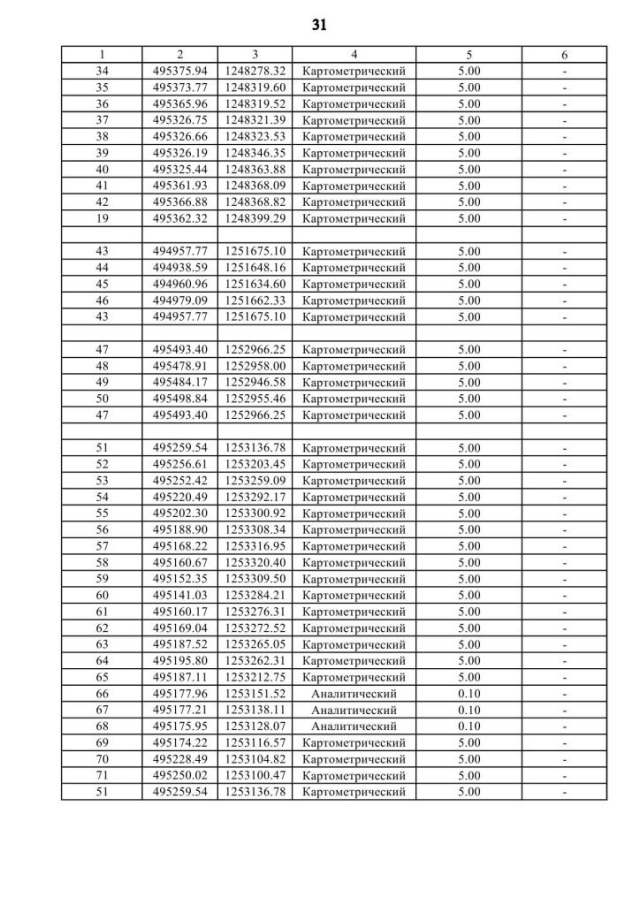
Приказ Департамента архитектуры и градостроительства Воронежской области от 17.09.2021 № 45-01-04/1039
"Об утверждении правил землепользования и застройки Норово-Ротаевского сельского поселения Нижнедевицкого муниципального района Воронежской области"
(Зарегистрирован 12.10.2021 № 931)
Номер опубликования: 3601202110180002
Дата опубликования: 18.10.2021
Страница №86 из 201:
Увеличить