Официальное опубликование правовых актов
ОФИЦИАЛЬНОЕ ОПУБЛИКОВАНИЕ
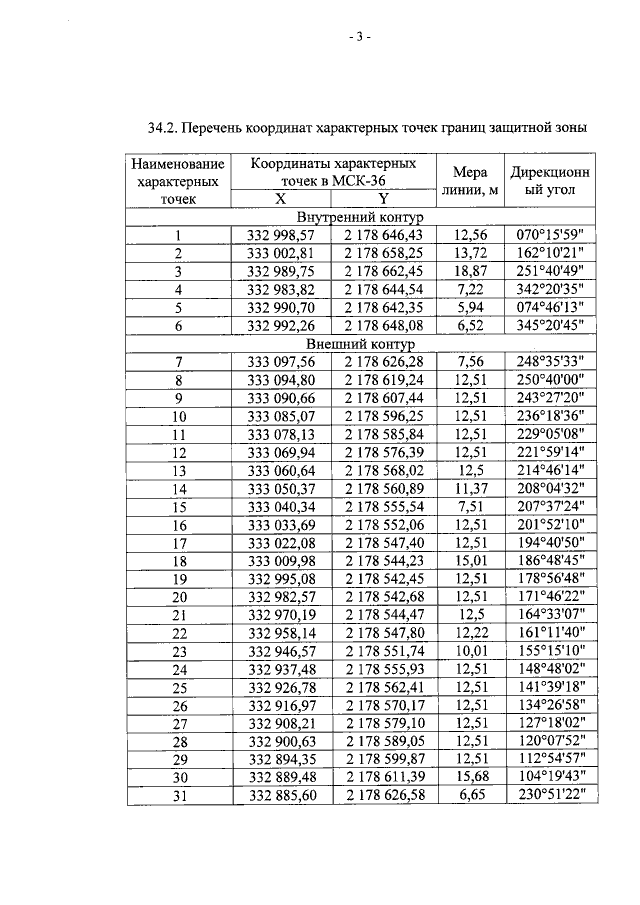
Приказ управления по охране объектов культурного наследия Воронежской области от 06.09.2021 № 71-01-07/363
"О внесении изменения в приказ управления по охране объектов культурного наследия Воронежской области от 01.09.2020 № 71-01-07/461"
(Зарегистрирован 17.09.2021 № 875)
Номер опубликования: 3601202109200020
Дата опубликования: 20.09.2021
Страница №3 из 5:
Увеличить