Официальное опубликование правовых актов
ОФИЦИАЛЬНОЕ ОПУБЛИКОВАНИЕ
Приказ Департамента архитектуры и градостроительства Воронежской области от 07.09.2021 № 45-01-04/999
"Об утверждении правил землепользования и застройки Меловатского сельского поселения Калачеевского муниципального района Воронежской области"
(Зарегистрирован 15.09.2021 № 866)
Номер опубликования: 3601202109200015
Дата опубликования: 20.09.2021
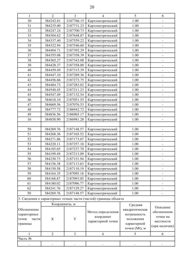
Страница №176 из 237:
Увеличить