Официальное опубликование правовых актов
ОФИЦИАЛЬНОЕ ОПУБЛИКОВАНИЕ
Приказ Департамента архитектуры и градостроительства Воронежской области от 01.09.2021 № 45-01-04/966
"Об утверждении правил землепользования и застройки Мастюгинского сельского поселения Острогожского муниципального района Воронежской области"
(Зарегистрирован 08.09.2021 № 851)
Номер опубликования: 3601202109160001
Дата опубликования: 16.09.2021
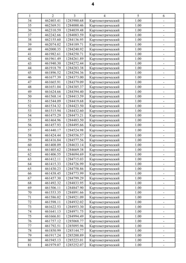
Страница №100 из 111:
Увеличить