Официальное опубликование правовых актов
ОФИЦИАЛЬНОЕ ОПУБЛИКОВАНИЕ
Приказ Департамента архитектуры и градостроительства Воронежской области от 28.07.2021 № 45-01-04/854
"Об утверждении правил землепользования и застройки Новоольшанского сельского поселения Нижнедевицкого муниципального района Воронежской области"
(Зарегистрирован 16.08.2021 № 766)
Номер опубликования: 3601202108230002
Дата опубликования: 23.08.2021
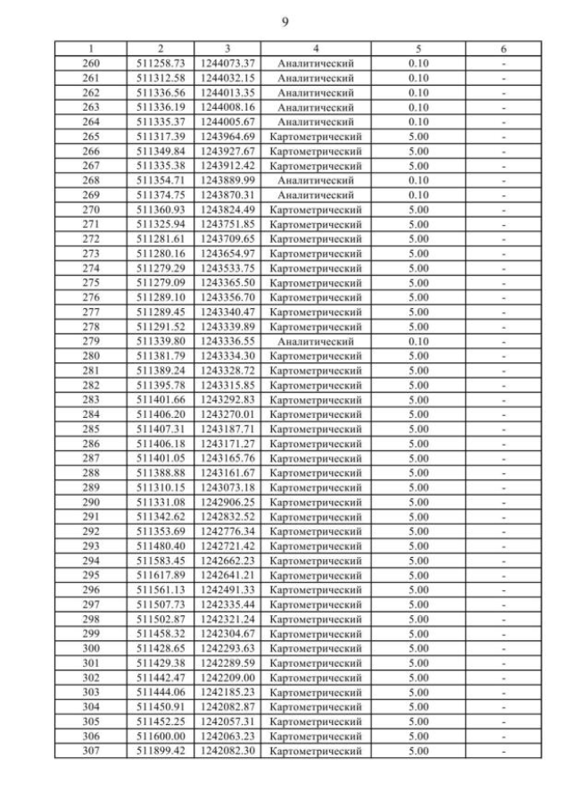
Страница №65 из 252:
Увеличить