Официальное опубликование правовых актов
ОФИЦИАЛЬНОЕ ОПУБЛИКОВАНИЕ
Приказ Департамента архитектуры и градостроительства Воронежской области от 30.07.2021 № 45-01-04/883
"Об утверждении правил землепользования и застройки Большеверейского сельского поселения Рамонского муниципального района Воронежской области"
(Зарегистрирован 16.08.2021 № 768)
Номер опубликования: 3601202108200006
Дата опубликования: 20.08.2021
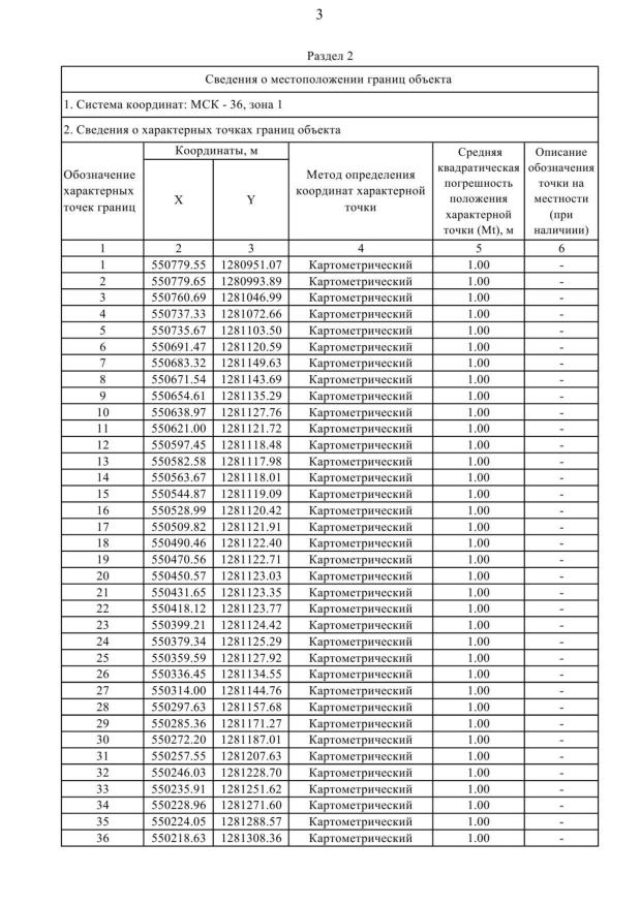
Страница №127 из 205:
Увеличить