Официальное опубликование правовых актов
ОФИЦИАЛЬНОЕ ОПУБЛИКОВАНИЕ
Приказ Департамента архитектуры и градостроительства Воронежской области от 28.07.2021 № 45-01-04/853
"Об утверждении правил землепользования и застройки Красносёловского сельского поселения Петропавловского муниципального района Воронежской области"
(Зарегистрирован 16.08.2021 № 767)
Номер опубликования: 3601202108200003
Дата опубликования: 20.08.2021
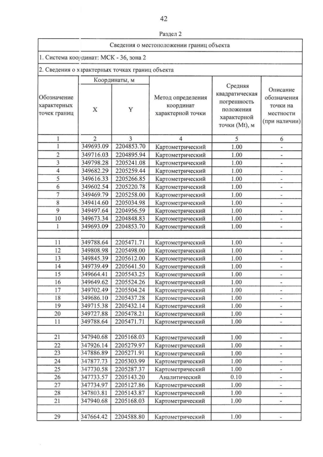
Страница №94 из 119:
Увеличить