Официальное опубликование правовых актов
ОФИЦИАЛЬНОЕ ОПУБЛИКОВАНИЕ
Приказ Департамента архитектуры и градостроительства Воронежской области от 05.07.2021 № 45-01-04/749
"Об утверждении правил землепользования и застройки Ярковского сельского поселения Новохопёрского муниципального района Воронежской области"
(Зарегистрирован 15.07.2021 № 650)
Номер опубликования: 3601202107220001
Дата опубликования: 22.07.2021
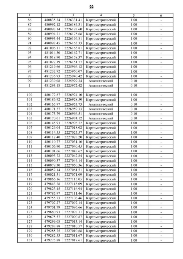
Страница №98 из 131:
Увеличить