Официальное опубликование правовых актов
ОФИЦИАЛЬНОЕ ОПУБЛИКОВАНИЕ
Приказ Департамента архитектуры и градостроительства Воронежской области от 11.06.2021 № 45-01-04/677
"Об утверждении правил землепользования и застройки Октябрьского сельского поселения Бобровского муниципального района Воронежской области"
(Зарегистрирован 29.06.2021 № 601)
Номер опубликования: 3601202107080003
Дата опубликования: 08.07.2021
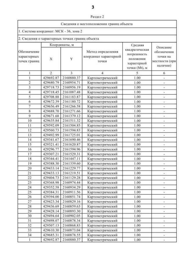
Страница №42 из 167:
Увеличить