Официальное опубликование правовых актов
ОФИЦИАЛЬНОЕ ОПУБЛИКОВАНИЕ
Приказ Департамента архитектуры и градостроительства Воронежской области от 12.05.2021 № 45-01-04/561
"Об утверждении правил землепользования и застройки Чулокского сельского поселения Бутурлиновского муниципального района Воронежской области"
(Зарегистрирован 24.05.2021 № 471)
Номер опубликования: 3601202106020001
Дата опубликования: 02.06.2021
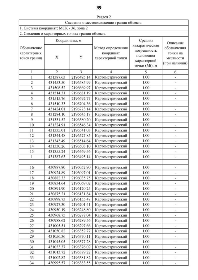
Страница №143 из 183:
Увеличить