Официальное опубликование правовых актов
ОФИЦИАЛЬНОЕ ОПУБЛИКОВАНИЕ
Приказ Департамента архитектуры и градостроительства Воронежской области от 14.05.2021 № 45-01-04/566
"Об утверждении правил землепользования и застройки Подгоренского сельского поселения Россошанского муниципального района Воронежской области"
(Зарегистрирован 24.05.2021 № 472)
Номер опубликования: 3601202105270004
Дата опубликования: 27.05.2021
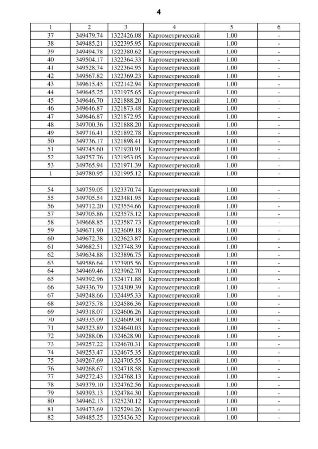
Страница №63 из 172:
Увеличить