Официальное опубликование правовых актов
ОФИЦИАЛЬНОЕ ОПУБЛИКОВАНИЕ
Приказ Департамента архитектуры и градостроительства Воронежской области от 11.05.2021 № 45-01-04/555
"Об утверждении правил землепользования и застройки Анновского сельского поселения Бобровского муниципального района Воронежской области"
(Зарегистрирован 24.05.2021 № 465)
Номер опубликования: 3601202105270002
Дата опубликования: 27.05.2021
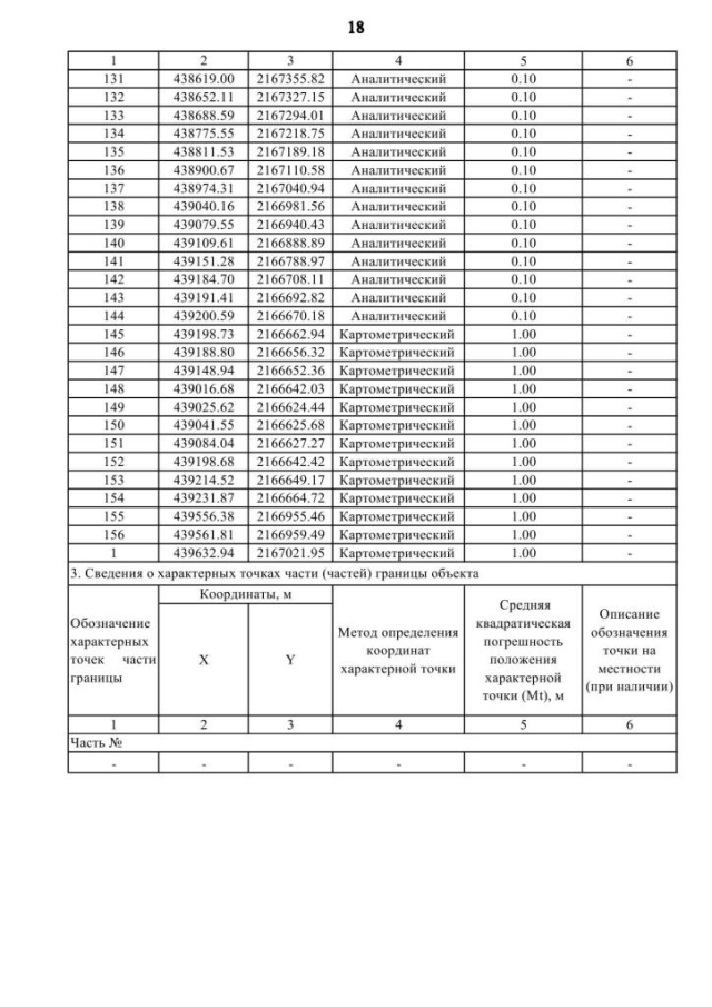
Страница №58 из 115:
Увеличить