Официальное опубликование правовых актов
ОФИЦИАЛЬНОЕ ОПУБЛИКОВАНИЕ
Приказ Департамента архитектуры и градостроительства Воронежской области от 11.05.2021 № 45-01-04/554
"Об утверждении правил землепользования и застройки Новотроицкого сельского поселения Петропавловского муниципального района Воронежской области"
(Зарегистрирован 24.05.2021 № 468)
Номер опубликования: 3601202105270001
Дата опубликования: 27.05.2021
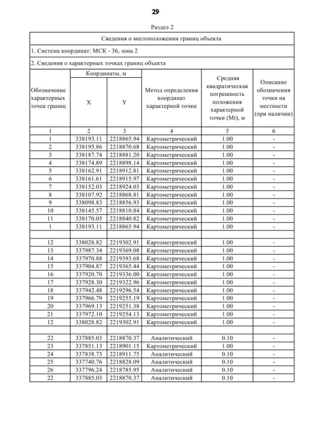
Страница №123 из 156:
Увеличить