Официальное опубликование правовых актов
ОФИЦИАЛЬНОЕ ОПУБЛИКОВАНИЕ
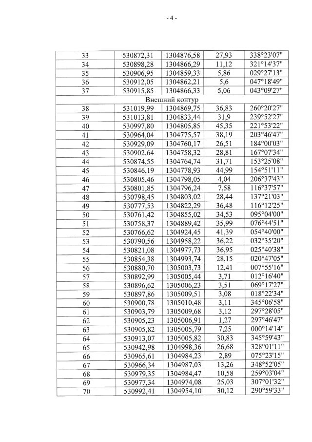
Приказ управления по охране объектов культурного наследия Воронежской области от 27.04.2021 № 71-01-07/150
"О внесении изменения в приказ управления по охране объектов культурного наследия Воронежской области от 04.12.2019 №71-01-07/339"
(Зарегистрирован 18.05.2021 № 423)
Номер опубликования: 3601202105180005
Дата опубликования: 18.05.2021
Страница №4 из 5:
Увеличить