Официальное опубликование правовых актов
ОФИЦИАЛЬНОЕ ОПУБЛИКОВАНИЕ
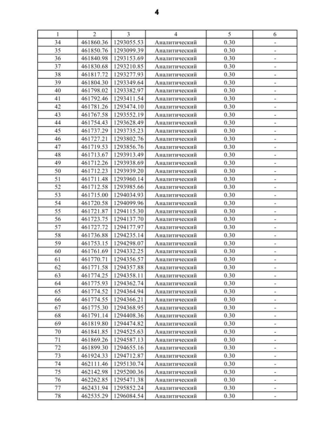
Приказ Департамента архитектуры и градостроительства Воронежской области от 26.04.2021 № 45-01-04/475
"Об утверждении правил землепользования и застройки Сторожевского 1-го сельского поселения Острогожского муниципального района Воронежской области"
(Зарегистрирован 11.05.2021 № 387)
Номер опубликования: 3601202105140002
Дата опубликования: 14.05.2021
Страница №93 из 104:
Увеличить