Официальное опубликование правовых актов
ОФИЦИАЛЬНОЕ ОПУБЛИКОВАНИЕ
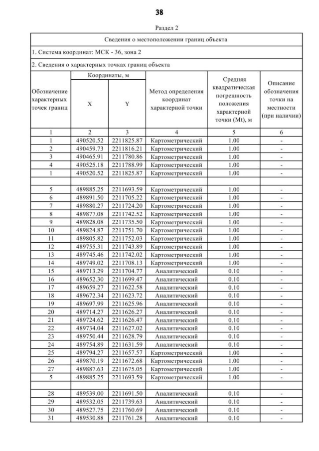
Приказ Департамента архитектуры и градостроительства Воронежской области от 26.04.2021 № 45-01-04/474
"Об утверждении правил землепользования и застройки Архангельского сельского поселения Аннинского муниципального района Воронежской области"
(Зарегистрирован 11.05.2021 № 388)
Номер опубликования: 3601202105130002
Дата опубликования: 13.05.2021
Страница №94 из 178:
Увеличить