Официальное опубликование правовых актов
ОФИЦИАЛЬНОЕ ОПУБЛИКОВАНИЕ
Приказ Департамента архитектуры и градостроительства Воронежской области от 16.03.2021 № 45-01-04/273
"Об утверждении правил землепользования и застройки Истобинского сельского поселения Репьёвского муниципального района Воронежской области"
(Зарегистрирован 23.03.2021 № 250)
Номер опубликования: 3601202103240006
Дата опубликования: 24.03.2021
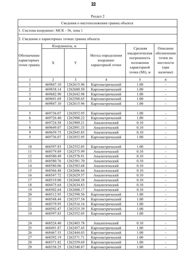
Страница №73 из 179:
Увеличить