Официальное опубликование правовых актов
ОФИЦИАЛЬНОЕ ОПУБЛИКОВАНИЕ
Приказ Департамента архитектуры и градостроительства Воронежской области от 14.09.2020 № 45-01-04/691
"Об утверждении правил землепользования и застройки Верхнетойденского сельского поселения Аннинского муниципального района Воронежской области"
(Зарегистрирован 24.09.2020 № 757)
Номер опубликования: 3601202009300001
Дата опубликования: 30.09.2020
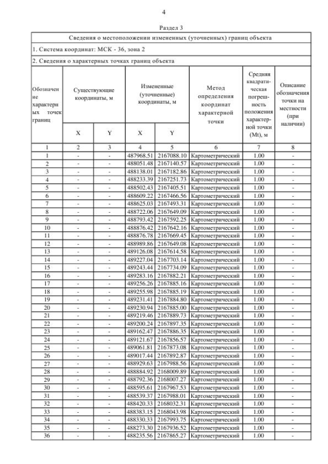
Страница №54 из 197:
Увеличить