Официальное опубликование правовых актов
ОФИЦИАЛЬНОЕ ОПУБЛИКОВАНИЕ
Приказ Департамента архитектуры и градостроительства Воронежской области от 06.08.2020 № 45-01-04/589
"Об утверждении правил землепользования и застройки Данковского сельского поселения Каширского муниципального района Воронежской области"
(Зарегистрирован 13.08.2020 № 614)
Номер опубликования: 3601202008200003
Дата опубликования: 20.08.2020
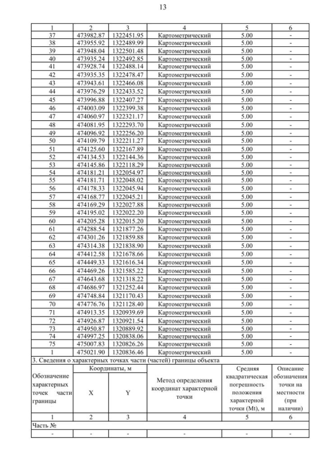
Страница №111 из 146:
Увеличить