Официальное опубликование правовых актов
ОФИЦИАЛЬНОЕ ОПУБЛИКОВАНИЕ
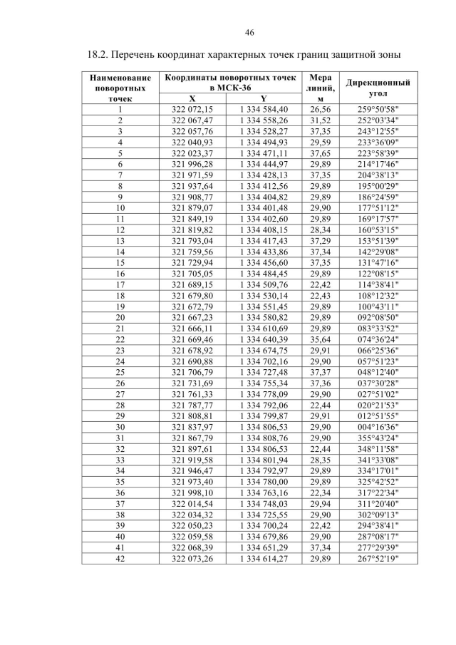
Приказ управления по охране объектов культурного наследия Воронежской области от 06.11.2019 № 71-01-07/266
"Об утверждении графического описания местоположения границ (с перечнем координат характерных точек этих границ) защитных зон объектов культурного наследия, расположенных на территории Воронежской области"
(Зарегистрирован 18.11.2019 № 796)
Номер опубликования: 3601201911200002
Дата опубликования: 20.11.2019
Страница №46 из 79:
Увеличить