Официальное опубликование правовых актов
ОФИЦИАЛЬНОЕ ОПУБЛИКОВАНИЕ
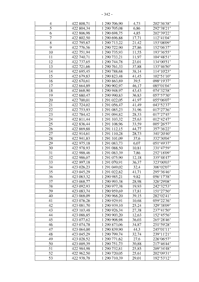
Приказ управления по охране объектов культурного наследия Воронежской области от 04.12.2018 № 71-01-07/266
"Об утверждении графического описания местоположения границ (с перечнем координат характерных точек этих границ) защитных зон объектов культурного наследия, расположенных на территории Воронежской области"
(Зарегистрирован 17.12.2018 № 1242)
Номер опубликования: 3601201812240017
Дата опубликования: 24.12.2018
Страница №342 из 351:
Увеличить