Официальное опубликование правовых актов
ОФИЦИАЛЬНОЕ ОПУБЛИКОВАНИЕ
Приказ департамента строительной политики Воронежской области от 28.02.2018 № 61-02-03/35
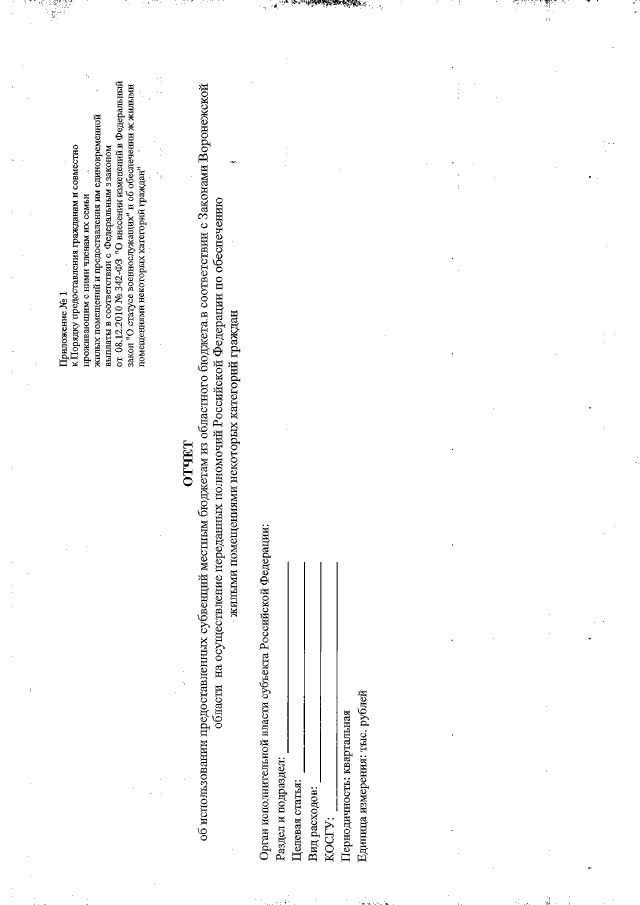
"Об утверждении на 2018 год Порядка формирования сводного списка граждан, изъявивших желание быть обеспеченными жилыми помещениями в соответствии с Федеральным законом от 08.12.2010 № 342-ФЗ "О внесении изменений в Федеральный закон "О статусе военнослужащих" и об обеспечении жилыми помещениями некоторых категорий граждан" и Порядка предоставления гражданам и совместно проживающим с ними членам их семей жилых помещений и предоставления им единовременной выплаты в соответствии с Федеральным законом от 08.12.2010 № 342-ФЗ "О внесении изменений в Федеральный закон "О статусе военнослужащих" и об обеспечении жилыми помещениями некоторых категорий граждан"
(Зарегистрирован 19.03.2018 № 131)
Номер опубликования: 3601201803230014
Дата опубликования: 23.03.2018
Страница №33 из 37:
Увеличить