Официальное опубликование правовых актов
ОФИЦИАЛЬНОЕ ОПУБЛИКОВАНИЕ
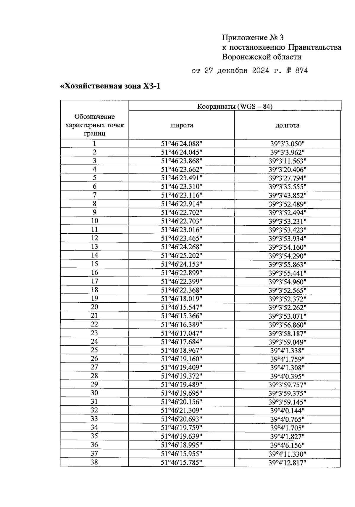
Постановление Правительства Воронежской области от 27.12.2024 № 874
"О внесении изменений в постановление Правительства Воронежской области от 27.01.2014 № 61"
Номер опубликования: 3600202412280007
Дата опубликования: 28.12.2024
Страница №22 из 71:
Увеличить