Официальное опубликование правовых актов
ОФИЦИАЛЬНОЕ ОПУБЛИКОВАНИЕ
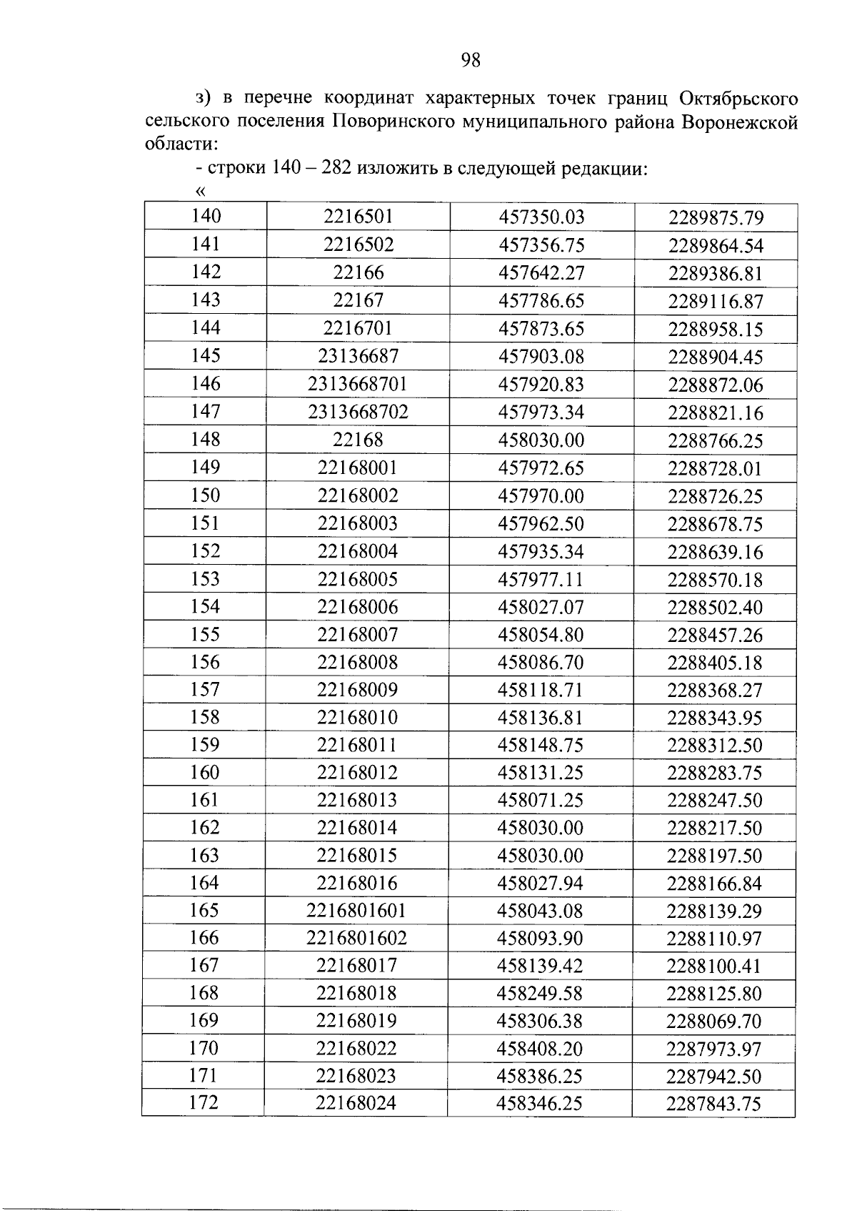
Закон Воронежской области от 29.03.2024 № 31-ОЗ
"О внесении изменений в отдельные законодательные акты Воронежской области"
Номер опубликования: 3600202404010004
Дата опубликования: 01.04.2024
Страница №98 из 112:
Увеличить