Официальное опубликование правовых актов
ОФИЦИАЛЬНОЕ ОПУБЛИКОВАНИЕ
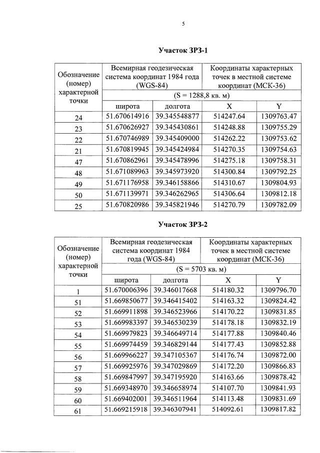
Постановление правительства Воронежской области от 14.09.2022 № 626
"Об утверждении зон охраны объектов культурного наследия регионального значения, расположенных на территории Новоусманского муниципального района Воронежской области, и требований к градостроительным регламентам в границах территорий указанных зон"
Номер опубликования: 3600202209160014
Дата опубликования: 16.09.2022
Страница №7 из 27:
Увеличить