Официальное опубликование правовых актов
ОФИЦИАЛЬНОЕ ОПУБЛИКОВАНИЕ
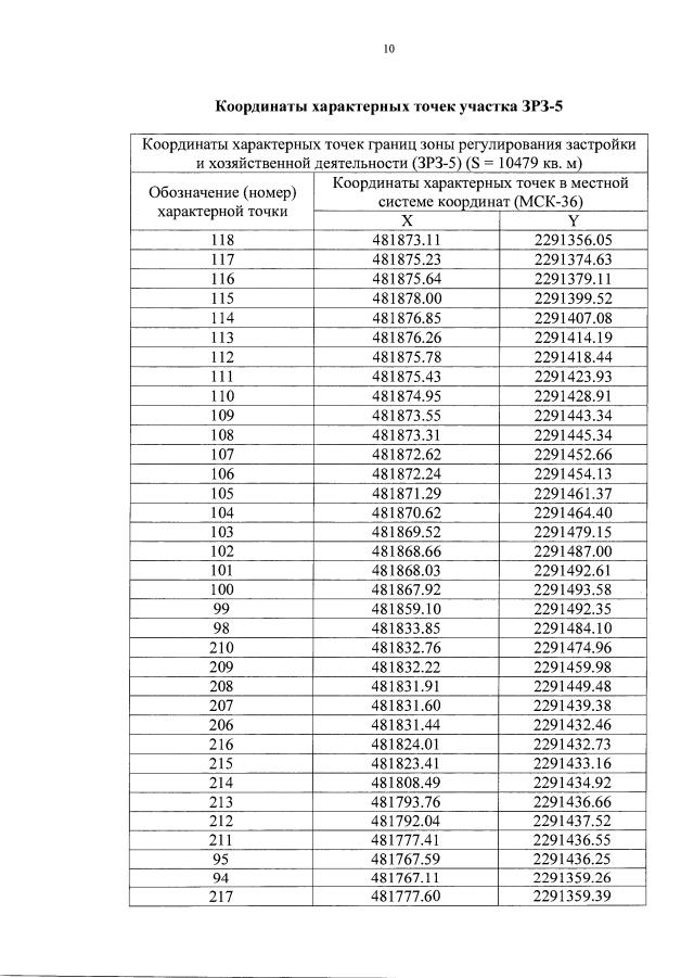
Постановление правительства Воронежской области от 17.01.2022 № 9
"Об утверждении зон охраны объекта культурного наследия регионального значения "Церковь Казанская (т.н. Никольская)", расположенного по адресу: Воронежская область, Борисоглебский район, г. Борисоглебск, ул. Бланская,156, и требований к градостроительным регламентам в границах территорий указанных зон"
Номер опубликования: 3600202201180003
Дата опубликования: 18.01.2022
Страница №12 из 23:
Увеличить