Официальное опубликование правовых актов
ОФИЦИАЛЬНОЕ ОПУБЛИКОВАНИЕ
Постановление правительства Воронежской области от 12.03.2018 № 215
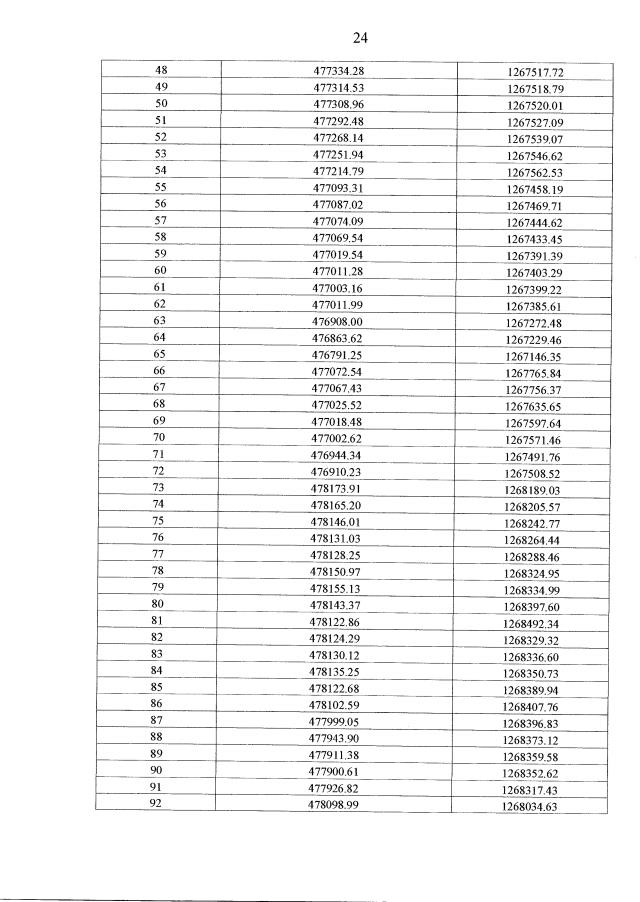
"Об утверждении проекта планировки территории для размещения объекта регионального значения: "Газораспределительные сети по улицам Кирова, Солдатская, Парижской Коммуны, 9-е января, Первомайская с. Семидесятное Хохольского муниципального района Воронежской области"
Номер опубликования: 3600201803190021
Дата опубликования: 19.03.2018
Страница №26 из 88:
Увеличить