Официальное опубликование правовых актов
ОФИЦИАЛЬНОЕ ОПУБЛИКОВАНИЕ
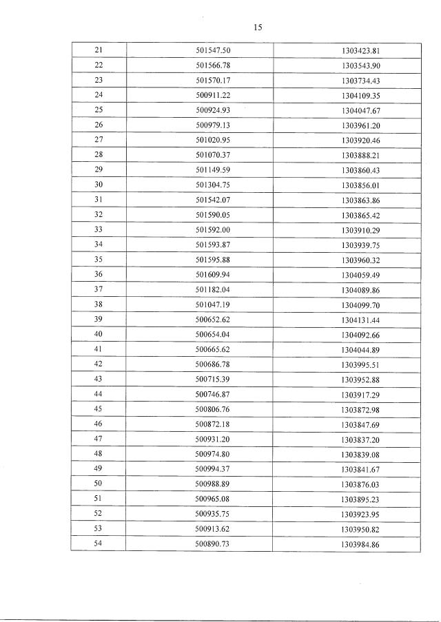
Постановление правительства Воронежской области от 28.06.2017 № 520
"Об утверждении проекта планировки территории для размещения объекта регионального значения: "Инженерная инфраструктура в индустриальном парке "Масловский"
Номер опубликования: 3600201707030007
Дата опубликования: 03.07.2017
Страница №17 из 152:
Увеличить