Официальное опубликование правовых актов
ОФИЦИАЛЬНОЕ ОПУБЛИКОВАНИЕ
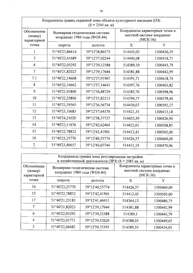
Постановление правительства Воронежской области от 09.12.2015 № 942
"Об утверждении границ зон охраны объектов культурного наследия федерального значения, расположенных на территории городского округа город Воронеж, режимов использования земель и требований к градостроительным регламентам в границах указанных зон"
Номер опубликования: 3600201512150014
Дата опубликования: 15.12.2015
Страница №81 из 152:
Увеличить