Официальное опубликование правовых актов
ОФИЦИАЛЬНОЕ ОПУБЛИКОВАНИЕ
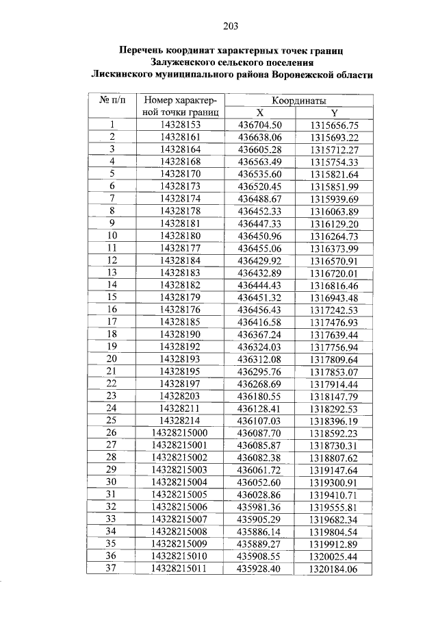
Закон Воронежской области от 30.12.2014 № 209-ОЗ
"О внесении изменений в Закон Воронежской области "Об установлении границ, наделении соответствующим статусом, определении административных центров муниципальных образований Лискинского и Подгоренского районов, образовании в их составе новых муниципальных образований"
Номер опубликования: 3600201501080024
Дата опубликования: 08.01.2015
Страница №203 из 405:
Увеличить