Официальное опубликование правовых актов
ОФИЦИАЛЬНОЕ ОПУБЛИКОВАНИЕ
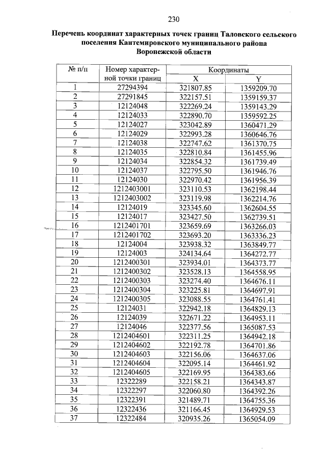
Закон Воронежской области от 30.12.2014 № 200-ОЗ
"О внесении изменений в Закон Воронежской области "Об установлении границ, наделении соответствующим статусом, определении административных центров муниципальных образований Бобровского, Воробьевского, Кантемировского районов"
Номер опубликования: 3600201501080023
Дата опубликования: 08.01.2015
Страница №230 из 250:
Увеличить