Официальное опубликование правовых актов
ОФИЦИАЛЬНОЕ ОПУБЛИКОВАНИЕ
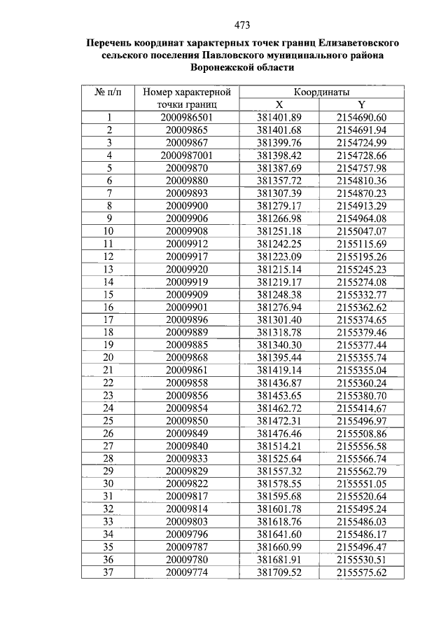
Закон Воронежской области от 30.12.2014 № 202-ОЗ
"О внесении изменений в Закон Воронежской области "Об установлении границ, наделении соответствующим статусом, определении административных центров отдельных муниципальных образований Воронежской области"
Номер опубликования: 3600201501080014
Дата опубликования: 08.01.2015
Страница №473 из 575:
Увеличить