Официальное опубликование правовых актов
ОФИЦИАЛЬНОЕ ОПУБЛИКОВАНИЕ
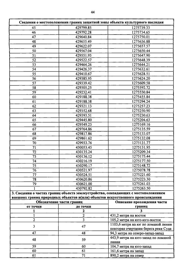
Приказ Комитета по охране объектов культурного наследия Вологодской области от 06.12.2019 № 8-О/01-07
"О защитных зонах объектов культурного наследия"
Номер опубликования: 3501201912090011
Дата опубликования: 09.12.2019
Страница №44 из 45:
Увеличить