Официальное опубликование правовых актов
ОФИЦИАЛЬНОЕ ОПУБЛИКОВАНИЕ
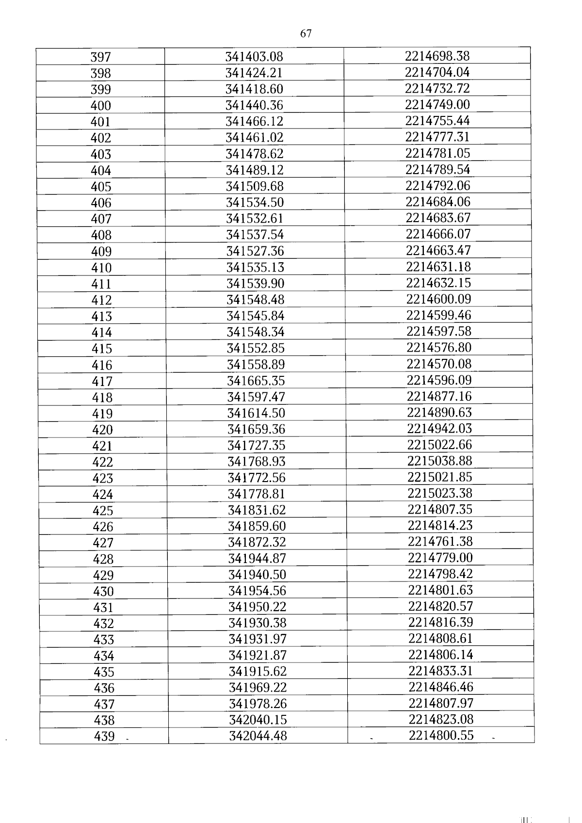
Постановление Правительства Вологодской области от 18.04.2024 № 479
"Об утверждении границ объединенной зоны охраны объектов культурного наследия, расположенных на территории города Череповца Вологодской области, режимов использования земель и земельных участков и требований к градостроительным регламентам в границах территорий данных зон"
Номер опубликования: 3500202404220004
Дата опубликования: 22.04.2024
Страница №67 из 258:
Увеличить