Официальное опубликование правовых актов
ОФИЦИАЛЬНОЕ ОПУБЛИКОВАНИЕ
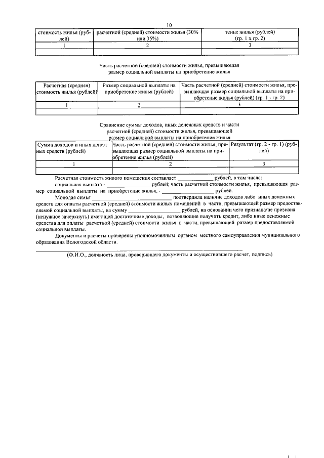
Постановление Правительства Вологодской области от 02.03.2020 № 184
"О реализации ведомственной целевой программы "Оказание государственной поддержки гражданам в обеспечении жильем и оплате жилищно-коммунальных услуг" государственной программы Российской Федерации "Обеспечение доступным и комфортным жильем и коммунальными услугами граждан Российской Федерации"
Номер опубликования: 3500202003040012
Дата опубликования: 04.03.2020
Страница №10 из 24:
Увеличить