Официальное опубликование правовых актов
ОФИЦИАЛЬНОЕ ОПУБЛИКОВАНИЕ
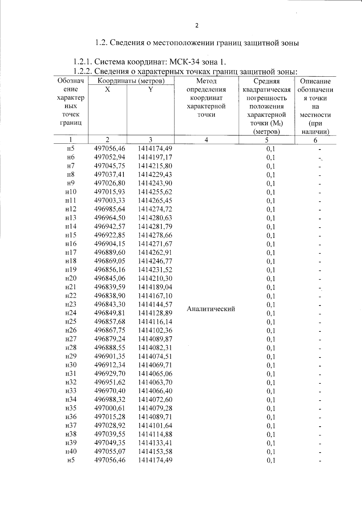
Приказ комитета государственной охраны объектов культурного наследия Волгоградской области от 08.02.2024 № 12-н
"Об утверждении описания местоположения границ защитных зон объектов культурного наследия регионального значения, расположенных на территории городского округа город-герой Волгоград и Ольховского района Волгоградской области, режима использования земель в границах данных защитных зон и о внесении изменений в некоторые приказы комитета государственной охраны объектов культурного наследия Волгоградской области"
Номер опубликования: 3401202402090005
Дата опубликования: 09.02.2024
Страница №4 из 12:
Увеличить