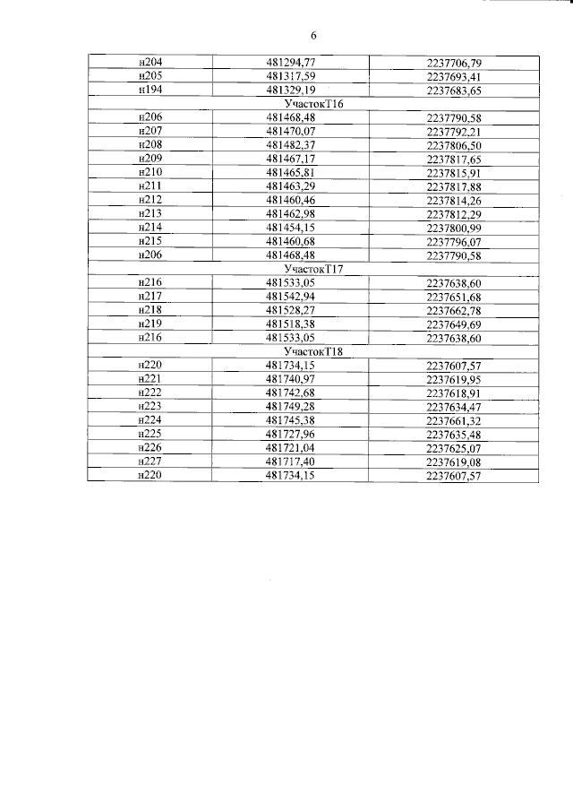
Приказ комитета государственной охраны объектов культурного наследия Волгоградской области от 26.07.2023 № 339
"Об утверждении границ и режима использования территории объекта культурного наследия регионального значения "Ансамбль застройки центра города Пришиб (Ленинска)", расположенного по адресу: Волгоградская область, г. Ленинск, ул. Ленина, д. 211-а, ул. Ленина, д. 233, ул. Комсомольская, д. 3"
"Об утверждении границ и режима использования территории объекта культурного наследия регионального значения "Ансамбль застройки центра города Пришиб (Ленинска)", расположенного по адресу: Волгоградская область, г. Ленинск, ул. Ленина, д. 211-а, ул. Ленина, д. 233, ул. Комсомольская, д. 3"
Номер опубликования: 3401202307270003
Дата опубликования:
27.07.2023
