Официальное опубликование правовых актов
ОФИЦИАЛЬНОЕ ОПУБЛИКОВАНИЕ
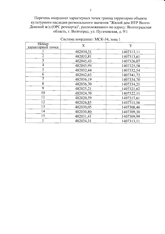
Приказ комитета государственной охраны объектов культурного наследия Волгоградской области от 12.07.2023 № 313
"Об утверждении границ и режимов использования территории объекта культурного наследия регионального значения "Жилой дом ИТР Волго-Донской ж/д (ОРС речпорта)", расположенного по адресу: Волгоградская область, г. Волгоград, ул. Пугачевская, д. 9/1"
Номер опубликования: 3401202307140005
Дата опубликования: 14.07.2023
Страница №4 из 5:
Увеличить