Официальное опубликование правовых актов
ОФИЦИАЛЬНОЕ ОПУБЛИКОВАНИЕ
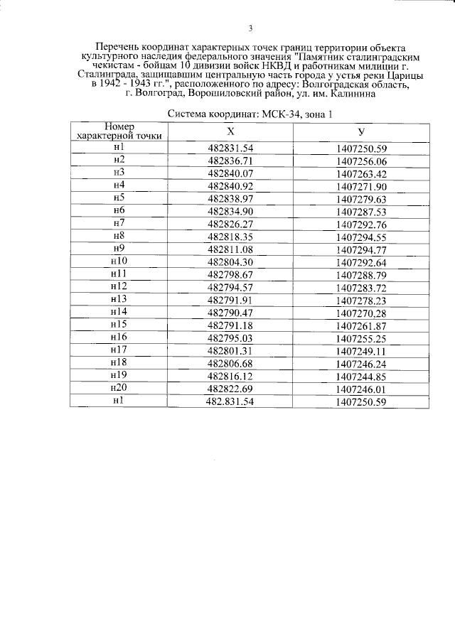
Приказ комитета государственной охраны объектов культурного наследия Волгоградской области от 24.05.2023 № 214
"Об утверждении границ и режимов использования территории объекта культурного наследия федерального значения "Памятник сталинградским чекистам - бойцам 10 дивизии войск НКВД и работникам милиции г. Сталинграда, защищавшим центральную часть города у устья реки Царицы в 1942 - 1943 гг.", расположенного по адресу: Волгоградская область, г. Волгоград, Ворошиловский район, ул. им. Калинина"
Номер опубликования: 3401202305250010
Дата опубликования: 25.05.2023
Страница №5 из 6:
Увеличить