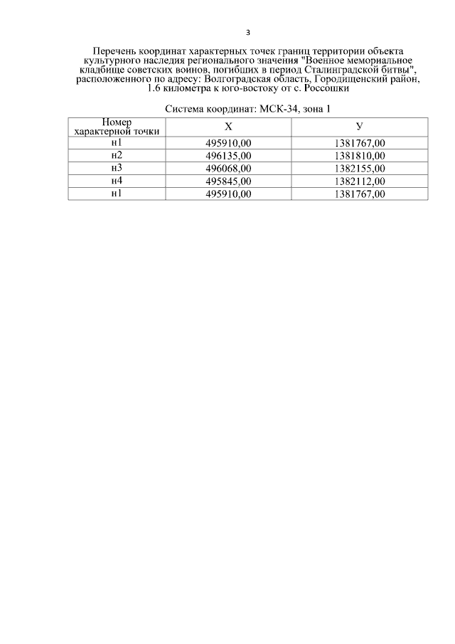
Приказ комитета государственной охраны объектов культурного наследия Волгоградской области от 22.05.2023 № 213
"Об утверждении описания местоположения границ территории ряда объектов культурного наследия регионального значения, расположенных на территории Городищенского района Волгоградской области"
"Об утверждении описания местоположения границ территории ряда объектов культурного наследия регионального значения, расположенных на территории Городищенского района Волгоградской области"
Номер опубликования: 3401202305240006
Дата опубликования:
24.05.2023
