Официальное опубликование правовых актов
ОФИЦИАЛЬНОЕ ОПУБЛИКОВАНИЕ
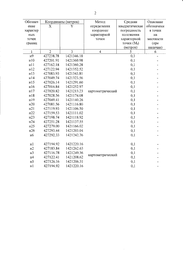
Приказ комитета государственной охраны объектов культурного наследия Волгоградской области от 27.02.2023 № 89
"Об утверждении описания местоположения границ защитных зон ряда объектов культурного наследия регионального значения, расположенных на территории Светлоярского района Волгоградской области, режима использования земель в границах данных защитных зон"
Номер опубликования: 3401202302280008
Дата опубликования: 28.02.2023
Страница №16 из 18:
Увеличить