Официальное опубликование правовых актов
ОФИЦИАЛЬНОЕ ОПУБЛИКОВАНИЕ
Приказ комитета государственной охраны объектов культурного наследия Волгоградской области от 21.02.2023 № 86
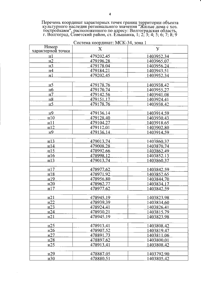
"Об утверждении границ и режимов использования территории ряда объектов культурного наследия регионального значения, расположенных на территории городского округа город-герой Волгоград и Среднеахтубинского района Волгоградской области"
Номер опубликования: 3401202302220002
Дата опубликования: 22.02.2023
Страница №30 из 44:
Увеличить