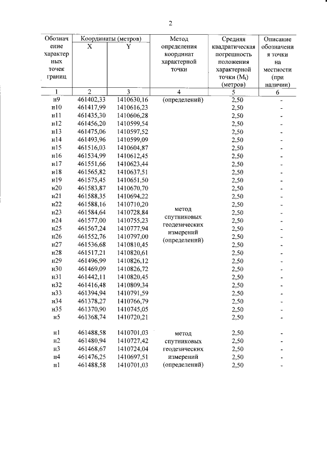
Приказ комитета государственной охраны объектов культурного наследия Волгоградской области от 14.02.2023 № 69
"Об утверждении описания местоположения границ защитных зон ряда объектов культурного наследия регионального значения, расположенных на территории городского округа город-герой Волгоград и Суровикинского района Волгоградской области, режима использования земель в границах защитных зон"
"Об утверждении описания местоположения границ защитных зон ряда объектов культурного наследия регионального значения, расположенных на территории городского округа город-герой Волгоград и Суровикинского района Волгоградской области, режима использования земель в границах защитных зон"
Номер опубликования: 3401202302160005
Дата опубликования:
16.02.2023
