Официальное опубликование правовых актов
ОФИЦИАЛЬНОЕ ОПУБЛИКОВАНИЕ
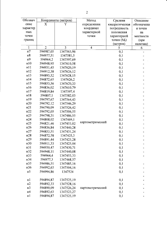
Приказ комитета государственной охраны объектов культурного наследия Волгоградской области от 24.01.2023 № 33
"Об утверждении описания местоположения границ защитных зон ряда объектов культурного наследия регионального значения, расположенных на территории Фроловского района Волгоградской области, режима использования земель в границах данных защитных зон"
Номер опубликования: 3401202301250019
Дата опубликования: 25.01.2023
Страница №7 из 33:
Увеличить