Официальное опубликование правовых актов
ОФИЦИАЛЬНОЕ ОПУБЛИКОВАНИЕ
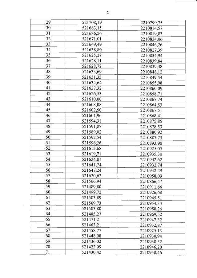
Приказ комитета государственной охраны объектов культурного наследия Волгоградской области от 22.10.2021 № 600
"Об утверждении границ и режима использования территории объекта культурного наследия регионального значения "Ансамбль застройки центра города Дубовка", расположенного по адресу: Волгоградская область, Дубовский район, г. Дубовка, Исторический центр города"
Номер опубликования: 3401202110240002
Дата опубликования: 24.10.2021
Страница №12 из 20:
Увеличить