Официальное опубликование правовых актов
ОФИЦИАЛЬНОЕ ОПУБЛИКОВАНИЕ
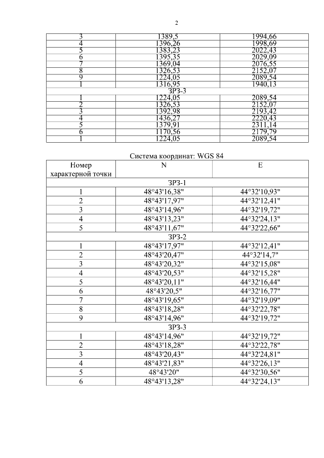
Приказ комитета государственной охраны объектов культурного наследия Волгоградской области от 19.04.2021 № 328
"Об установлении зон охраны объекта культурного наследия регионального значения "Ансамбль застройки онкологического диспансера", расположенного по адресу: Волгоградская область, г. Волгоград, пр-кт им. В. И. Ленина, 54, утверждении требований к градостроительным регламентам в границах территорий данных зон"
Номер опубликования: 3401202104210002
Дата опубликования: 21.04.2021
Страница №7 из 11:
Увеличить