Официальное опубликование правовых актов
ОФИЦИАЛЬНОЕ ОПУБЛИКОВАНИЕ
Приказ комитета государственной охраны объектов культурного наследия Волгоградской области от 08.04.2021 № 305
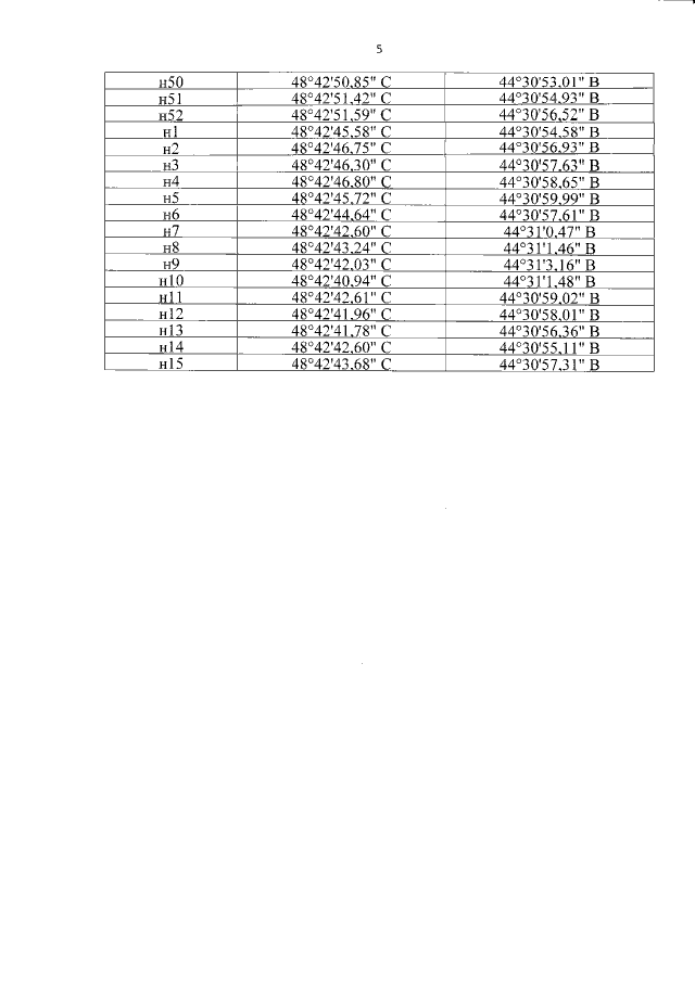
"Об утверждении описания местоположения границ защитных зон объектов культурного наследия, расположенных на территории городского округа город - герой Волгоград и Дубовского района Волгоградской области, режима использования земель в границах защитных зон"
Номер опубликования: 3401202104090008
Дата опубликования: 09.04.2021
Страница №12 из 17:
Увеличить