Официальное опубликование правовых актов
ОФИЦИАЛЬНОЕ ОПУБЛИКОВАНИЕ
Приказ комитета государственной охраны объектов культурного наследия Волгоградской области от 05.04.2021 № 272
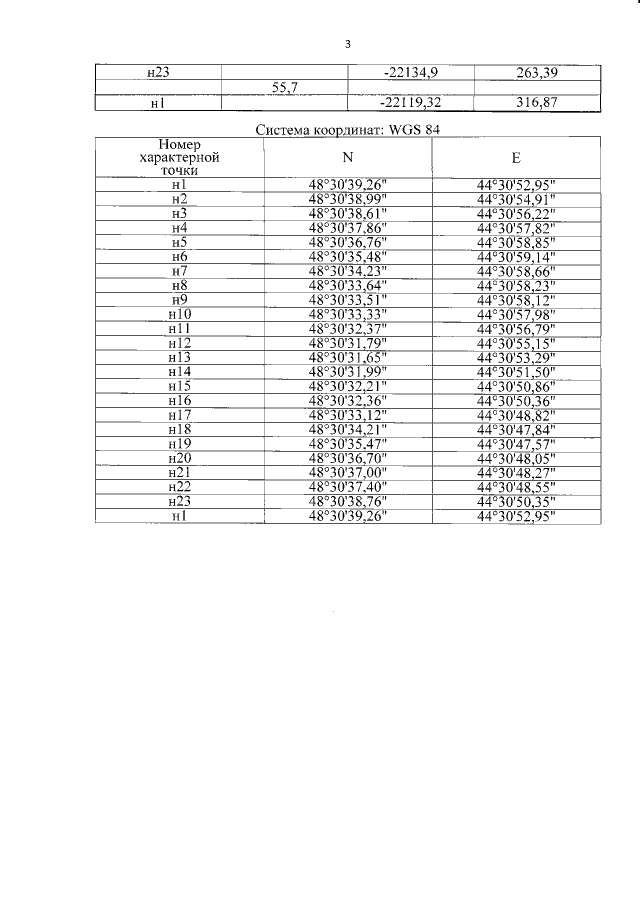
"Об утверждении описания местоположения границ защитных зон объектов культурного наследия, расположенных на территории городского округа город-герой Волгоград, Быковского, Жирновского, Камышинского, Октябрьского и Руднянского районов Волгоградской области, режима использования земель в границах защитных зон"
Номер опубликования: 3401202104070006
Дата опубликования: 07.04.2021
Страница №4 из 35:
Увеличить