Официальное опубликование правовых актов
ОФИЦИАЛЬНОЕ ОПУБЛИКОВАНИЕ
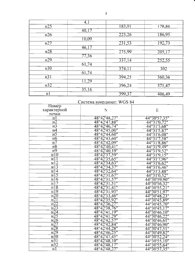
Приказ комитета государственной охраны объектов культурного наследия Волгоградской области от 05.04.2021 № 270
"Об утверждении описания местоположения границ защитных зон объектов культурного наследия, расположенных на территории городского округа город-герой Волгоград и Ленинского района Волгоградской области, режима использования земель в границах защитных зон"
Номер опубликования: 3401202104060005
Дата опубликования: 06.04.2021
Страница №7 из 27:
Увеличить