Официальное опубликование правовых актов
ОФИЦИАЛЬНОЕ ОПУБЛИКОВАНИЕ
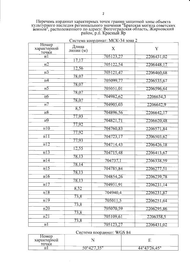
Приказ комитета государственной охраны объектов культурного наследия Волгоградской области от 05.04.2021 № 268
"Об утверждении описания местоположения границ защитных зон объектов культурного наследия, расположенных на территории городского округа город-герой Волгоград, городского округа-город Волжский и Жирновского района Волгоградской области, режима использования земель в границах защитных зон"
Номер опубликования: 3401202104060004
Дата опубликования: 06.04.2021
Страница №13 из 18:
Увеличить